Airborne navigation refers to the techniques and technologies used to determine the position and course of an aircraft during flight. Effective navigation ensures that an aircraft reaches its destination safely and efficiently. Here are some key components and methods involved in airborne navigation: Inertial Navigation Systems (INS), Global Navigation Satellite Systems (GNSS), etc. We have prepared a full airborne test for you.
There’s a culture of innovation at SBG Systems, so when the idea was formulated for an intense flight to evaluate the performance of our Ellipse and Quanta Micro in real-life conditions, there wasn’t any hesitation. It took time and resources to make these tests happen, but the output was worth it. Many thanks to Apache aviation for their help with this project.
Inertial Navigation Systems (INS) play a crucial role in providing accurate positioning and navigation information for airborne navigation applications. We have tested them in real world conditions to assess their reliability.

An exceptional test campaign in Airborne Navigation
In addition to the complex implementation involved in conducting aerospace tests (regulations, cramped spaces, etc.), these trials are particularly exceptional as they gave us answers to certain questions that few INS manufacturers have had the opportunity to test under real conditions:
- Our initial objective was to enrich our test database, with a focus on continuous improvement of our algorithms. Many tests are typically conducted in a “2D” environment (e.g., cars, boats), while “3D” tests are relatively scarce.
- Customers with aerospace applications rarely provide data as it is often confidential.
- Another question we sought to address was the validation of the robustness of our algorithms under extreme dynamics, including significant vibrations and accelerations exceeding 4g.
- Furthermore, this allowed us to assess the performance of our equipment in challenging GNSS environments, where there are significant signal blockages due to abrupt changes in orientation or even complete aircraft reversals (flying upside down).
Gimbal lock effect
These flights also enabled us to test all possible orientations, some of which induce a “gimbal lock” effect that traditionally poses difficulties for certain navigation algorithms when the pitch approaches 90°. While our algorithms are designed to handle this issue using quaternions, they are rarely challenged under such conditions.
Lastly, in addition to the robustness and functionality aspects, we aimed to verify whether the navigation performance could be maintained under these extreme conditions.
It is worth noting that these tests were conducted blindly.
Due to safety reasons, it is difficult, if not impossible, to bring a laptop computer on board. With all the sensors involved, everything had to be configured and double-checked before commencing the flight tests.
The test platform had to be completely autonomous for data logging, and a battery with sufficient capacity was required for the entire duration of preparations and flights. All of this had to be integrated within very tight dimensions.
Setup & Flight Plan
To comprehensively assess the performance of the INS devices, two flights have been scheduled, each representing different scenarios encountered during airborne navigation operations:
- A typical flight, with lower dynamic maneuvers and straight level flight condition
- An aerobatics flight, to stimulate the devices in many orientations and accelerations
- This allowed us to check that in both regular and challenging conditions the products offer the level of real-time performance specified.

Two products were tested: Ellipse-D and Quanta Micro. A post-processed Apogee-D (tightly coupled PPK with forward + backward processing) served as the reference for this evaluation. And they all did very well, much better than SBG Systems’ crew actually.
Flight 1: Typical Flight Profile
The primary focus of Flight 1 is to evaluate the performance of the devices in a typical flight profile, encompassing lower dynamic maneuvers and straight level flight conditions.
This flight provides a baseline for comparison and assesses the INS devices’ accuracy and stability during regular flight operations.
The data collected during this flight helped to establish a benchmark for evaluating their performance in more challenging conditions of airborne navigation.

The flight plan consists of series of figures like climb out, standard and steep turns, shallow bank, phugoid, accelerations and decelerations, pitch up and down …
Flight 2: Aerobatic Maneuvers
In Flight 2, the INS devices are subject to a series of aerobatic maneuvers to test their capability in extreme orientations and accelerations. Aerobatic maneuvers, characterized by rapid and aggressive movements, introduce significant challenges for navigation systems in airborne navigation.
By simulating these demanding conditions, we can evaluate the robustness and accuracy of the INS devices in real-world scenarios where precise positioning is vital.

The flight plan consists of series of figures like climb out, standard and steep turns, hallow bank, phugoid, ailerons roll, barrel roll, 4-point roll, immelmann, s-turn, accelerations and decelerations, pitch up and down …
Devices Under Test
The two INS devices chosen for evaluation are Ellipse-D and Quanta Micro. Ekinox Micro is assessed as well by proxy with Quanta Micro.
Unit | Hardware code | Hardware revision | Serial number | Firmware |
---|---|---|---|---|
EUT#1 | ELLIPSE-D-G4A3-B1 | 3.3.00 | 000043763 | 2.5.169-stable |
EUT#2 | QUANTA-USG | 1.1.0.0 | 000042492 | 4.2.228-beta |
Assessed by proxy | Ekinox Micro | 0.1 | 000046860 | 5.0.1945-beta |
While exact Ekinox Micro Hardware was not included in this test, it is a rugged version of Quanta Micro and behaves exactly the same. Therefore, the results of this test are entirely applicable to Ekinox Micro.


Reference Unit
Apogee-D unit with Qinertia PPK (tightly coupled PPK with forward + backward processing) serves as the reference for the test.
Test results
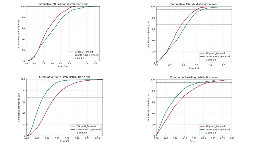
First test: typical flight


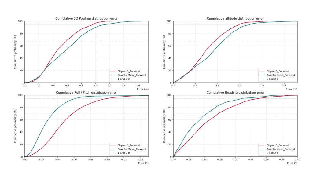
Second test: aerobatic flight


Single vs Dual antenna
The graph below shows the Quanta Micro real time performance in single antenna vs the sub-optimal dual antenna setup (featuring different antenna types).
Start of flight is a low dynamic straight line for more than 7 minutes, without any prior high dynamic maneuver. Although this is well under optimal conditions, the single antenna setup is operating properly, with a higher error.
This kind of situation is clearly at the advantage of the dual antenna setup, capable of delivering accurate measurements, even in low dynamic conditions.
If this initial straight line is excluded from the error analysis, we can see that the single antenna performance is equivalent to the dual antenna performance.


Results Analysis
Comparison of Ellipse-D results with specifications
Measure | Target value (RMS) | Achieved value, typical flight (RMS) | Achieved value, acrobatic flight (RMS) | Status, based on typical flight |
---|---|---|---|---|
Horizontal position | 1.2 m | 0.574 m | 0.647 m | OK |
Altitude | 1.5 m | 1.012 m | 1.050 m | OK |
Roll | 0.1° | 0.041° | 0.064° | OK |
Pitch | 0.1° | 0.041° | 0.043° | OK |
Heading | 0.2° (baseline > 2 m) | 0.147° | 0.127° | OK |
On a side note, the Ellipse-D used in the test exhibited an exceptional level of performance, exceeding expectations.
While all our IMUs meet their specified performance, some may even surpass them. Ellipse-D stands out as an example of such exceptional performance, earning it the title of “Best Ellipse Ever” and occupying a special place on our shelf.
Comparison of Quanta Micro / Ekinox Micro results with specifications
Measure | Target value (RMS) | Achieved value, typical flight (RMS) | Achieved value, acrobatic flight (RMS) | Status, based on typical flight |
---|---|---|---|---|
Horizontal position | 1.2 m | 0.688 m | 0.689 m | OK |
Altitude | 1.5 m | 1.204 m | 1.049 m | OK |
Roll | 0.03° | 0.023° | 0.049° | OK |
Pitch | 0.03° | 0.027° | 0.036° | OK |
Heading | 0.1° | 0.109° | 0.146° | OK |
Conclusion
During the typical flight test, both Ellipse-D and Quanta Micro / Ekinox Micro surpassed their specifications in real-time single point conditions. The aerobatics flight test revealed as well that Ellipse-D and Quanta Micro / Ekinox Micro have delivered exceptional performance, exhibited no errors, and closely aligned with the specified values, which are usually applicable for normal flight conditions.
These tests highlight that SBG’s INS are highly reliable and accurate tools for airborne navigation applications in single point conditions. They consistently deliver outstanding performance, ensuring reliability in challenging scenarios.